科学投注大小大双
以5个码为基础,在我们的普通算法当中,50%的命中率往往是输的,你赢一次输一次,最后结果你还是输,那么有没有更好的办法?答案是有的,提高我们的命中率,根据开奖四维分析的方法进行统算,确实可以提高好几个百分点的中奖机率,主要方式是热码购买法,控制把数和选号金额,我在这里列个比较简单的吧,比如说1次开大,那么就跟2次,中了就再跟一次,再中再跟,跟到不中为止,开2次大或以上的都只跟一次,1次的就跟2把。那么怎么去计算这个呢?
一天120期10个号1200注中50%开大(下面都以50%开奖作为计算)=600注
2次大的是:600的50%=300注
3次大的是:300的50%=150注
4次大的是:150的50%=75注
5次大的是:75的50%=37.5注
6次大的是:37.5的50%=18.75注
7次大的是:18.75的50%=9.375注
8次大的是:9.375的50%=4.6875注
9次大的是:4.6875的50%=2.34375注
10次大的是:2.34375的50%=1.171注
详细的就是这样,可能大家没办法理解,那就不要理解直接看上面的选号方式就行了。
思维延伸:
以上述打法我做了一个表格,以重庆时时彩为例,打365天一年,大小大双或任一的连中机率表格如下:
(连中胜率表格)
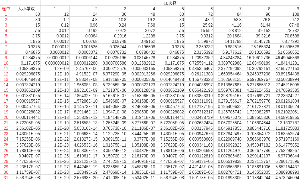
那我们对上图的重庆时时彩大小单双概率表进行延申,考虑一下十选1~9的胜率
(高频彩十选1~9的胜率情况)


![[F]laughing[/F]](http://www.noteet.com/zb_users/theme/Lucky/source/face/laughing.gif)